【喜报】学校在第十四届“全国大学生 广告艺术大赛”中喜获佳绩
- 发布人:党委宣传部
- 时间:2022-09-27
- 点击:5310
- 来源:建筑与设计学院
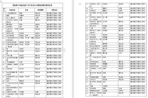
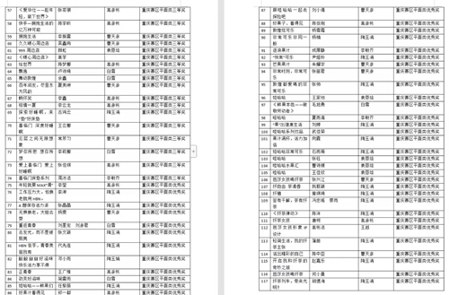
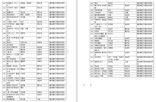
近日,第十四届全国大学生广告艺术大赛获奖名单公布,我校共计获得国家级等级奖1项,国家级优秀奖多项,重庆市一等奖5项、二等奖3项、三等奖66项、优秀奖95项。
据悉,全国大学生广告艺术大赛是由教育部高等教育司指导,教育部高等学校新闻传播学类专业教学指导委员会、中国高等教育学会广告教育专业委员会共同主办,中国传媒大学、全国大学生广告艺术大赛组委会承办的全国高校文科大赛,是迄今为止全国规模大、覆盖高等院校广、参与师生人数多、作品水准高的国家级大学生赛事。
近年来,学校高度重视学生创新创业能力培养,积极鼓励学生参加各类学科竞赛,此次大赛所取得的成绩,正是我校建筑与设计学院实践教学成果的体现。学校将继续加强对学生实践能力、创新能力和合作精神的培养,不断深化教学改革,努力培养更多的高素质创新型人才。








校长信箱
书记信箱
公共服务
微信
微博
抖音